¿Cómo se hace el cálculo del pago en plazos con interés compuesto?
1 min de lectura
Hay dos configuraciones posibles de cobranza de pago en plazos con interés compuesto:
- Cobranza al inicio del periodo;
- Cobranza al fin del periodo.
Inicio del periodo
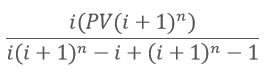
La cobranza al inicio del periodo se calcula como sigue:
- i = Tasa de Intereses
- n = Número de Cuotas
- PV = Valor Presente (valor total de la compra sin intereses)
- Cuota =

Fin del periodo
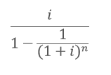
La cobranza al fin del periodo se calcula como sigue:
- i = Tasa de Intereses
- n = Número de Cuotas
- PV = Valor Presente (valor total da compra sin intereses)
- Multiplicador Cash Flow =

- Cuota =
PV x Multiplicador Cash Flow
Ejemplos
Inicio del Periodo
- i = 1%
- n = 12
- PV = 1000

Fin del Periodo
- i = 1%
- n = 12
- PV = 1000

