How do you calculate payments in installments with compound interest?
1 min read
There are two possible configurations for collecting installment payments with compound interest:
- Collection at the beginning of the period;
- Collection at the end of the period.
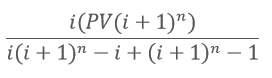
Beginning of the period
Collection at the beginning of the period is calculated as follows:
- i = Interest rate
- n = Number of installments
- PV = Present Value (total amount of the purchase without interest)
- Installment =

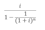
End of the period
Collection at the end of the period is calculated as follows:
- i = Interest rate
- n = Number of installments
- PV = Present Value (total amount of the purchase without interest)
- Cash Flow Multiplier =

- Installment =
PV x Cash Flow Multiplier
Examples
Beginning of the period
- i = 1%
- n = 12
- PV = 1000

End of the period
- i = 1%
- n = 12
- PV = 1000

